花潮论坛

搜索
热搜: 活动 交友 discuz

[时事新闻] 注意!这些新规明起实施,与你生活息息相关

[复制链接]

该用户从未签到

1643

主题

28万

回帖

31万

积分

贵宾

Rank: 7Rank: 7Rank: 7Rank: 7Rank: 7Rank: 7Rank: 7

花潮美女鼠牛虎兔龙蛇马羊猴鸡狗猪春风拂面星星情怀七彩绚丽王者至尊妙笔生花共看流星我心永远幸福快乐指尖上的流年花潮贵宾

 楼主| 发表于 2021-3-26 08:54 | 显示全部楼层
毋问我从哪里来 发表于 2021-3-26 08:54
孙存良心里一直有个疙瘩:他到底有没有被“开除”?被开除了,为什么档案还在,还能被别人冒用。为此,他 ...

讨说法
2018年9月,孙存良将虞城县教体局告上法庭,想得到养老保险金。《河南省夏邑县人民法院行政裁定书》显示,教体局是教育行政主管部门,不具备发放社会保险待遇的法定职责,法院驳回了孙存良的起诉。

                               
登录/注册后可看大图
夏邑县人民法院驳回孙存良的起诉。 受访者供图

回复 支持 反对

使用道具 举报

该用户从未签到

1643

主题

28万

回帖

31万

积分

贵宾

Rank: 7Rank: 7Rank: 7Rank: 7Rank: 7Rank: 7Rank: 7

花潮美女鼠牛虎兔龙蛇马羊猴鸡狗猪春风拂面星星情怀七彩绚丽王者至尊妙笔生花共看流星我心永远幸福快乐指尖上的流年花潮贵宾

 楼主| 发表于 2021-3-26 08:55 | 显示全部楼层
毋问我从哪里来 发表于 2021-3-26 08:54
讨说法2018年9月,孙存良将虞城县教体局告上法庭,想得到养老保险金。《河南省夏邑县人民法院行政裁定书 ...


                               
登录/注册后可看大图
夏邑县人民法院驳回孙存良的起诉。 受访者供图
回复 支持 反对

使用道具 举报

该用户从未签到

1643

主题

28万

回帖

31万

积分

贵宾

Rank: 7Rank: 7Rank: 7Rank: 7Rank: 7Rank: 7Rank: 7

花潮美女鼠牛虎兔龙蛇马羊猴鸡狗猪春风拂面星星情怀七彩绚丽王者至尊妙笔生花共看流星我心永远幸福快乐指尖上的流年花潮贵宾

 楼主| 发表于 2021-3-26 08:55 | 显示全部楼层
毋问我从哪里来 发表于 2021-3-26 08:55
夏邑县人民法院驳回孙存良的起诉。 受访者供图

2020年7月23日,孙存良再次去到商丘市信访局反映情况,得到的回复是,已交给虞城县处理。24日,孙存良在前往无锡的火车上接到镇干部的电话,他记得,对方问他要多少钱。孙存良不知如何开口,只说要考虑一下。
两个月过去,麦子熟了,孙存良回到家,他决定拿钱。和儿子、女儿一起商量,教师一年的退休工资有3万,中国人的平均寿命是76岁,享受退休金的16年,一共48万,孙存良决定要40万。
寒冬腊月,回家过年,孙存良起草了协议交给镇政府。但等过完年,他也没拿到钱。
今年,虞城县人社局的保险系统里再次查出两个“孙存良”,因孙存良的“双重身份”,数据异常,人社局停止给孙存良发放城乡养老金。

回复 支持 反对

使用道具 举报

该用户从未签到

1643

主题

28万

回帖

31万

积分

贵宾

Rank: 7Rank: 7Rank: 7Rank: 7Rank: 7Rank: 7Rank: 7

花潮美女鼠牛虎兔龙蛇马羊猴鸡狗猪春风拂面星星情怀七彩绚丽王者至尊妙笔生花共看流星我心永远幸福快乐指尖上的流年花潮贵宾

 楼主| 发表于 2021-3-26 08:55 | 显示全部楼层
毋问我从哪里来 发表于 2021-3-26 08:55
2020年7月23日,孙存良再次去到商丘市信访局反映情况,得到的回复是,已交给虞城县处理。24日,孙存良在 ...


                               
登录/注册后可看大图
孙存良的双重参保记录。受访者供图
回复 支持 反对

使用道具 举报

该用户从未签到

1643

主题

28万

回帖

31万

积分

贵宾

Rank: 7Rank: 7Rank: 7Rank: 7Rank: 7Rank: 7Rank: 7

花潮美女鼠牛虎兔龙蛇马羊猴鸡狗猪春风拂面星星情怀七彩绚丽王者至尊妙笔生花共看流星我心永远幸福快乐指尖上的流年花潮贵宾

 楼主| 发表于 2021-3-26 08:55 | 显示全部楼层
毋问我从哪里来 发表于 2021-3-26 08:55
孙存良的双重参保记录。受访者供图


                               
登录/注册后可看大图
因孙存良双重参保记录,人社局停发了孙存良的城乡养老保险金。 受访者供图
回复 支持 反对

使用道具 举报

该用户从未签到

1643

主题

28万

回帖

31万

积分

贵宾

Rank: 7Rank: 7Rank: 7Rank: 7Rank: 7Rank: 7Rank: 7

花潮美女鼠牛虎兔龙蛇马羊猴鸡狗猪春风拂面星星情怀七彩绚丽王者至尊妙笔生花共看流星我心永远幸福快乐指尖上的流年花潮贵宾

 楼主| 发表于 2021-3-26 08:56 | 显示全部楼层
毋问我从哪里来 发表于 2021-3-26 08:55
因孙存良双重参保记录,人社局停发了孙存良的城乡养老保险金。 受访者供图

2月22日,孙存良来到郑州市信访局,想讨个说法。商丘市纪委给郑州市信访局的答复是:案子已了结。
次日,虞城县教体局的一名工作人员回应澎湃新闻,省市教育部门此前已经调查过此事,“是冒用的指标,过程很复杂,牵扯到的这些人,该处理的都处理了,该处分的都处分了。”至于详细的处理结果,暂不方便透露。
虞城县人社局的一名王姓工作人员称,“双重身份”的情况说明已递交市审计局,3月份,将补发孙存良的城乡养老保险金。

回复 支持 反对

使用道具 举报

该用户从未签到

1643

主题

28万

回帖

31万

积分

贵宾

Rank: 7Rank: 7Rank: 7Rank: 7Rank: 7Rank: 7Rank: 7

花潮美女鼠牛虎兔龙蛇马羊猴鸡狗猪春风拂面星星情怀七彩绚丽王者至尊妙笔生花共看流星我心永远幸福快乐指尖上的流年花潮贵宾

 楼主| 发表于 2021-3-26 08:56 | 显示全部楼层
毋问我从哪里来 发表于 2021-3-26 08:56
2月22日,孙存良来到郑州市信访局,想讨个说法。商丘市纪委给郑州市信访局的答复是:案子已了结。次日, ...

2月24日,虞城县教体局发布通报称:2018年5月,南纪成因顶替民师指标被县教体局取消其以孙存良名字享受的退休待遇;参与当年办理手续的相关人员,已于2018年5月由县纪委、县教体局分别给予严肃处理。
“处理的谁,怎么处理的,为什么没有人通知我?”带着未解的疑问,2月26日,孙存良再次来到虞城县教体局。
路上,孙存良接到镇政府的电话,对方说,给40万行不行。孙存良激动地说:“我现在不要钱。”

回复 支持 反对

使用道具 举报

该用户从未签到

1643

主题

28万

回帖

31万

积分

贵宾

Rank: 7Rank: 7Rank: 7Rank: 7Rank: 7Rank: 7Rank: 7

花潮美女鼠牛虎兔龙蛇马羊猴鸡狗猪春风拂面星星情怀七彩绚丽王者至尊妙笔生花共看流星我心永远幸福快乐指尖上的流年花潮贵宾

 楼主| 发表于 2021-3-26 08:56 | 显示全部楼层
毋问我从哪里来 发表于 2021-3-26 08:56
2月24日,虞城县教体局发布通报称:2018年5月,南纪成因顶替民师指标被县教体局取消其以孙存良名字享受的 ...

前一晚,孙存良把自己的问题写了满满五页纸。他把稿纸平整地放进黄色布袋里,袋子紧紧地攥在手里。下车前,他拿出稿纸,再次斟酌里面的问题是否合适。
教体局的门卫认识孙存良,拍拍他的肩膀说:“又来啦?”
他见到领导就主动上前打招呼,随后接连问起是谁帮南纪成办理了退休、当年处理了哪些干部。但他没有得到明确的答复。
当年负责这个案子的监察室主任刘佑红告诉他,案子在2018年5月已调查结束,之后的举报都是纪委在处理。

回复 支持 反对

使用道具 举报

该用户从未签到

1643

主题

28万

回帖

31万

积分

贵宾

Rank: 7Rank: 7Rank: 7Rank: 7Rank: 7Rank: 7Rank: 7

花潮美女鼠牛虎兔龙蛇马羊猴鸡狗猪春风拂面星星情怀七彩绚丽王者至尊妙笔生花共看流星我心永远幸福快乐指尖上的流年花潮贵宾

 楼主| 发表于 2021-3-26 08:57 | 显示全部楼层
毋问我从哪里来 发表于 2021-3-26 08:56
前一晚,孙存良把自己的问题写了满满五页纸。他把稿纸平整地放进黄色布袋里,袋子紧紧地攥在手里。下车前 ...

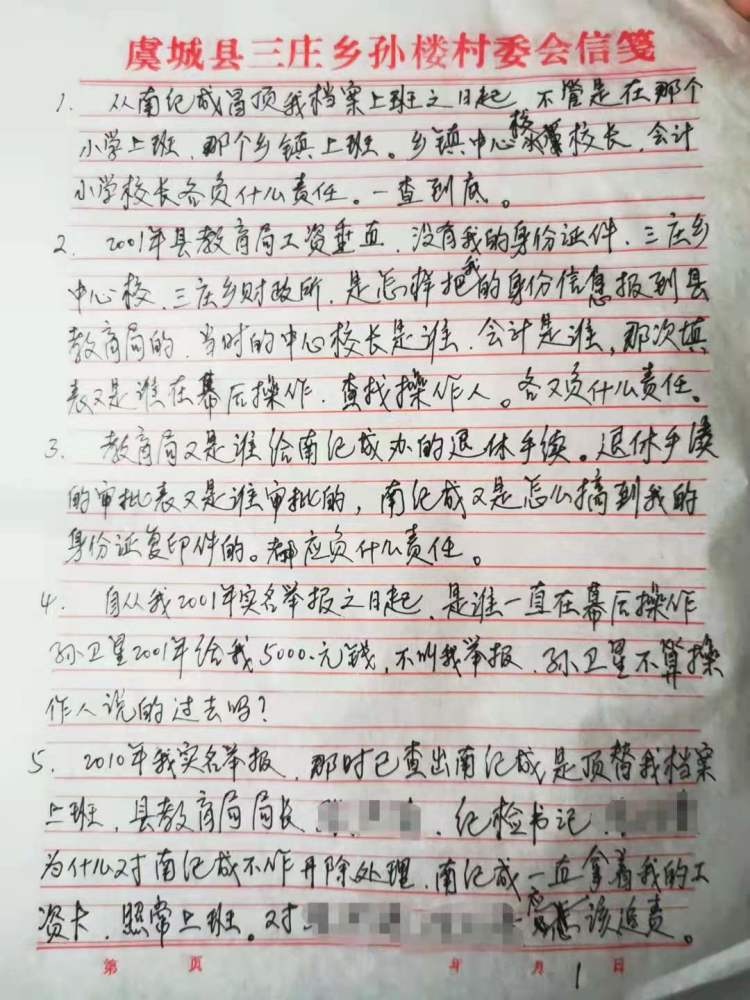
在教体局来回询问的一个小时里,孙存良没有机会把前一晚写的稿纸拿出来。走之前,他在一楼的走廊里徘徊,眼神飘忽不定,自言自语道,“局长今天怎么没来?”

                               
登录/注册后可看大图
去教育局前,孙存良在稿纸上写下自己的诉求。

回复 支持 反对

使用道具 举报

该用户从未签到

1643

主题

28万

回帖

31万

积分

贵宾

Rank: 7Rank: 7Rank: 7Rank: 7Rank: 7Rank: 7Rank: 7

花潮美女鼠牛虎兔龙蛇马羊猴鸡狗猪春风拂面星星情怀七彩绚丽王者至尊妙笔生花共看流星我心永远幸福快乐指尖上的流年花潮贵宾

 楼主| 发表于 2021-3-26 08:57 | 显示全部楼层
毋问我从哪里来 发表于 2021-3-26 08:57
在教体局来回询问的一个小时里,孙存良没有机会把前一晚写的稿纸拿出来。走之前,他在一楼的走廊里徘徊, ...

60万
从教育局回来,镇长把孙存良一家叫到大队部,再次谈起赔偿。
“如果再要40万,我感觉有点亏,一下子要60万又感觉在苛抠(发言:为难)他。”孙存良说。
和家人商量后,孙存良决定,要60万,不讨价还价,他说得硬气。
3月5日,“由于被别人冒名顶替导致其回家,长期靠打工维持生计,家庭经济十分困难”,镇政府决定一次性给予孙存良60万的“补偿和救济”,包含精神损失费10万元、家庭生活救济款50万元。

回复 支持 反对

使用道具 举报

该用户从未签到

1643

主题

28万

回帖

31万

积分

贵宾

Rank: 7Rank: 7Rank: 7Rank: 7Rank: 7Rank: 7Rank: 7

花潮美女鼠牛虎兔龙蛇马羊猴鸡狗猪春风拂面星星情怀七彩绚丽王者至尊妙笔生花共看流星我心永远幸福快乐指尖上的流年花潮贵宾

 楼主| 发表于 2021-3-26 08:57 | 显示全部楼层
毋问我从哪里来 发表于 2021-3-26 08:57
60万从教育局回来,镇长把孙存良一家叫到大队部,再次谈起赔偿。“如果再要40万,我感觉有点亏,一下子要 ...


                               
登录/注册后可看大图
3月10日,镇政府与孙存良签订协议书,给予孙存良60万补偿金。受访者供图
回复 支持 反对

使用道具 举报

该用户从未签到

1643

主题

28万

回帖

31万

积分

贵宾

Rank: 7Rank: 7Rank: 7Rank: 7Rank: 7Rank: 7Rank: 7

花潮美女鼠牛虎兔龙蛇马羊猴鸡狗猪春风拂面星星情怀七彩绚丽王者至尊妙笔生花共看流星我心永远幸福快乐指尖上的流年花潮贵宾

 楼主| 发表于 2021-3-26 08:57 | 显示全部楼层
毋问我从哪里来 发表于 2021-3-26 08:57
3月10日,镇政府与孙存良签订协议书,给予孙存良60万补偿金。受访者供图

第二天,孙存良和儿子、女儿来商丘市找律师起草协议。孙存良心里打鼓,他害怕得不到钱,也害怕拿钱后得罪人。
3月10日,孙存良拿着协议来到镇政府,协议被敲上公章,孙存良的心踏实了。
但他还有一个心愿没有了结,他希望孙卫星能给他道歉,希望教体局给他一份带有公章的证明,证明1992年春天,他没有被学校开除。
然而,一切都随着60万的到来结束了。村支书劝他:“你和孙卫星都合不来,没啥可说的,给他个面子吧。”孙存良同意了;教体局不愿意开证明,孙存良也不再追究。

回复 支持 反对

使用道具 举报

该用户从未签到

1643

主题

28万

回帖

31万

积分

贵宾

Rank: 7Rank: 7Rank: 7Rank: 7Rank: 7Rank: 7Rank: 7

花潮美女鼠牛虎兔龙蛇马羊猴鸡狗猪春风拂面星星情怀七彩绚丽王者至尊妙笔生花共看流星我心永远幸福快乐指尖上的流年花潮贵宾

 楼主| 发表于 2021-3-26 08:58 | 显示全部楼层
毋问我从哪里来 发表于 2021-3-26 08:57
第二天,孙存良和儿子、女儿来商丘市找律师起草协议。孙存良心里打鼓,他害怕得不到钱,也害怕拿钱后得罪 ...

3月12日,60万打到孙存良的存折上。
这天晚上,他去饭店买了两个菜,吴桂芳把冰箱里的鸡炖了,孙艳收想买一挂鞭炮冲喜,孙存良制止了:“显得跟咱胜利了一样,人家面子上挂不住。”孙卫星跟孙存良是一个村的,尽管孙卫星一家早已搬走,孙存良也不想让村里人说闲话。
饭桌上,孙艳收劝父亲,别去打工了。可孙存良早已联系了邻村的工友,准备第二天晚上坐火车去无锡。
走之前,孙存良嘱咐吴桂芳,领着孙子在家,只管吃饱,其他啥事都不要干了。在工地,孙存良买了油、菜,多买点肉和鸡蛋,“有钱了,咱也得吃好一点。”

回复 支持 反对

使用道具 举报

该用户从未签到

1643

主题

28万

回帖

31万

积分

贵宾

Rank: 7Rank: 7Rank: 7Rank: 7Rank: 7Rank: 7Rank: 7

花潮美女鼠牛虎兔龙蛇马羊猴鸡狗猪春风拂面星星情怀七彩绚丽王者至尊妙笔生花共看流星我心永远幸福快乐指尖上的流年花潮贵宾

 楼主| 发表于 2021-3-29 13:25 | 显示全部楼层
3月起,明令禁止网络暴力、人肉搜索、流量造假

2020
03/01
07:08
北京日报客户端


                               
登录/注册后可看大图
3月1日起,《网络信息内容生态治理规定》开始实行。规定明确,网络信息内容服务使用者和生产者、平台,不得开展网络暴力、人肉搜索、深度伪造、流量造假、操纵账号等违法活动。
网络信息内容生产者应防范和抵制制作、复制、发布含有使用夸张标题、内容与标题严重不符和炒作绯闻、丑闻、劣迹等不良信息等。

回复 支持 反对

使用道具 举报

该用户从未签到

1643

主题

28万

回帖

31万

积分

贵宾

Rank: 7Rank: 7Rank: 7Rank: 7Rank: 7Rank: 7Rank: 7

花潮美女鼠牛虎兔龙蛇马羊猴鸡狗猪春风拂面星星情怀七彩绚丽王者至尊妙笔生花共看流星我心永远幸福快乐指尖上的流年花潮贵宾

 楼主| 发表于 2021-3-29 16:41 | 显示全部楼层
四月起,一批新规正式生效!事关你的签证和ETC

2020
03/31
00:11
中新经纬

这些新规4月起将正式实施:ETC客户可开具通行费电子发-票;地铁列车内不得进食、电子设备不得外放声音;伪造、变造“签证专办员卡”将被依法依规处理。
中新经纬客户端3月31日电 (熊家丽)4月,一批新规将正式实施。证券公司取消外资股比限制、ETC卡客户可开具通行费电子发-票、伪造、变造“签证专办员卡”将被依法依规处理……影响你我生活,一起来看看吧!

                               
登录/注册后可看大图
证券资料图。中新经纬 董湘依摄

回复 支持 反对

使用道具 举报

该用户从未签到

1643

主题

28万

回帖

31万

积分

贵宾

Rank: 7Rank: 7Rank: 7Rank: 7Rank: 7Rank: 7Rank: 7

花潮美女鼠牛虎兔龙蛇马羊猴鸡狗猪春风拂面星星情怀七彩绚丽王者至尊妙笔生花共看流星我心永远幸福快乐指尖上的流年花潮贵宾

 楼主| 发表于 2021-3-29 16:42 | 显示全部楼层
毋问我从哪里来 发表于 2021-3-29 16:41
四月起,一批新规正式生效!事关你的签证和ETC

2020

全国性新规
证券公司外资股比限制取消
证监会3月13日发布消息,自2020年4月1日起取消证券公司外资股比限制,符合条件的境外投资者可根据法律法规、证监会有关规定和相关服务指南的要求,依法提交设立证券公司或变更公司实际控制人的申请。
中山证券首席经济学家李湛表示,外资金融机构的进入,将给国内带来增量资金、先进的技术和风控管理经验,有助于国内资本市场建设,引导市场投资风格的转变,也有利于内资金融机构提升综合实力、做大做强。
新版《证券期货规章制定程序规定》4月13日起施行
3月13日,证监会发布修订后的《证券期货规章制定程序规定》,《规定》自2020年4月13日起施行。据介绍,新版《证券期货规章制定程序规定》除将原来的“起草与审查”一章分为“起草”和“审查”两章外,保持了原有框架结构。在条文上,由原来的40条增至41条,主要修改28条,增加5条。
修改的主要内容包括:一是加强对立法工作的领导。如年度规章制定工作计划要经批准,对临时补加规章立项进行规范等。二是按照《条例》要求修改补充新的规定。如强调制定规章应当符合上位法规定;年度规章制定工作计划要向社会公布等。三是结合实践经验,改进证监会立法程序机制。如规定重要的或者综合性的规章,可以由法制机构起草或者组织成立专门的工作小组共同负责起草等。

回复 支持 反对

使用道具 举报

该用户从未签到

1643

主题

28万

回帖

31万

积分

贵宾

Rank: 7Rank: 7Rank: 7Rank: 7Rank: 7Rank: 7Rank: 7

花潮美女鼠牛虎兔龙蛇马羊猴鸡狗猪春风拂面星星情怀七彩绚丽王者至尊妙笔生花共看流星我心永远幸福快乐指尖上的流年花潮贵宾

 楼主| 发表于 2021-3-29 16:42 | 显示全部楼层
毋问我从哪里来 发表于 2021-3-29 16:42
全国性新规证券公司外资股比限制取消证监会3月13日发布消息,自2020年4月1日起取消证券公司外资股比限制 ...

ETC客户可开具通行费电子发-票
交通运输部、国家税务总局发布的《关于收费公路通行费增值税电子普通发-票开具等有关事项的公告》,明确了通行费电子发-票编码规则、通行费电子发-票开具的对象、通行费电子发-票开具流程、通行费电子发-票的种类等内容,同时公布了通行费电子发-票票样。该公告自2020年4月1日起施行。
其中,通行费电子发-票开具对象为办理ETC卡的客户,ETC卡的具体办理流程和相关要求请咨询各省(区、市)ETC客户服务机构。未办理ETC卡的客户,仍按原有方式交纳通行费和索取票据。通行费电子发-票的发-票代码为12位,编码规则:第1位为0,第2—5位代表省、自治区、直辖市和计划单列市,第6—7位代表年度,第8—10位代表批次,第11—12位为12。发-票号码为8位,按年度、分批次编制。

回复 支持 反对

使用道具 举报

该用户从未签到

1643

主题

28万

回帖

31万

积分

贵宾

Rank: 7Rank: 7Rank: 7Rank: 7Rank: 7Rank: 7Rank: 7

花潮美女鼠牛虎兔龙蛇马羊猴鸡狗猪春风拂面星星情怀七彩绚丽王者至尊妙笔生花共看流星我心永远幸福快乐指尖上的流年花潮贵宾

 楼主| 发表于 2021-3-29 16:42 | 显示全部楼层
毋问我从哪里来 发表于 2021-3-29 16:42
ETC客户可开具通行费电子发-票交通运输部、国家税务总局发布的《关于收费公路通行费增值税电子普通发-票 ...


                               
登录/注册后可看大图
图片来源:国家税务总局
回复 支持 反对

使用道具 举报

该用户从未签到

1643

主题

28万

回帖

31万

积分

贵宾

Rank: 7Rank: 7Rank: 7Rank: 7Rank: 7Rank: 7Rank: 7

花潮美女鼠牛虎兔龙蛇马羊猴鸡狗猪春风拂面星星情怀七彩绚丽王者至尊妙笔生花共看流星我心永远幸福快乐指尖上的流年花潮贵宾

 楼主| 发表于 2021-3-29 16:43 | 显示全部楼层
毋问我从哪里来 发表于 2021-3-29 16:42
图片来源:国家税务总局

地铁列车内不得进食、电子设备不得外放声音
2019年10月18日交通运输部印发的《城市轨道交通客运组织与服务管理办法》将于2020年4月1日起施行。《办法》明确了乘客行为规范的具体要求,规定乘客应遵守票务管理规定,明确了影响运营安全的10类禁止性行为,以及影响秩序的7类约束性行为。
其中,《办法》中明确的7类约束性行为分别是:在车站或者列车内涂写、刻画,或者私自张贴、悬挂物品;携带动物(导盲犬、军警犬除外)进站乘车,携带有严重异味、刺激性气味的物品进站乘车;推销产品或从事营销活动,乞讨、卖艺及歌舞表演,大声喧哗、吵闹,使用电子设备时外放声音;骑行平衡车、电动车(不包括残疾人助力车)、自行车,使用滑板、溜冰鞋;在列车内进食(婴儿、病人除外);随地吐痰、便溺、乱吐口香糖,乱扔果皮、纸屑等废弃物,躺卧或踩踏座席;在车站和列车内滋扰乘客的其他行为。

回复 支持 反对

使用道具 举报

该用户从未签到

1643

主题

28万

回帖

31万

积分

贵宾

Rank: 7Rank: 7Rank: 7Rank: 7Rank: 7Rank: 7Rank: 7

花潮美女鼠牛虎兔龙蛇马羊猴鸡狗猪春风拂面星星情怀七彩绚丽王者至尊妙笔生花共看流星我心永远幸福快乐指尖上的流年花潮贵宾

 楼主| 发表于 2021-3-29 16:43 | 显示全部楼层
毋问我从哪里来 发表于 2021-3-29 16:43
地铁列车内不得进食、电子设备不得外放声音2019年10月18日交通运输部印发的《城市轨道交通客运组织与服务 ...

伪造、变造“签证专办员卡”将被依法依规处理
3月10日,文旅部印发《出境旅游组团社签证专办员卡使用管理规定》,《规定》明确,签证专办员卡是指依据我国与有关国家和地区签署的双边旅游协议,为便于出境旅游组团社向出境旅游目的地国家和地区驻华使领馆申请办理出境旅游团体签证,由文化和旅游部国际交流与合作局印制,用于向各驻华使领馆证明出境旅游组团社团体旅游签证办理人员身份的证件。
《规定》指出,出境旅游组团社或者签证专办员利用签证专办员卡以旅游名义弄虚作假,骗取签证送他人出境的,文化和旅游行政部门将依法暂停其经营出境旅游业务或者取消其出境旅游业务经营资格。出境旅游组团社及有关单位和个人,伪造、变造签证专办员卡的,文化和旅游行政部门将依法依规作出严肃处理。《规定》于2020年4月1日起施行。

回复 支持 反对

使用道具 举报

您需要登录后才可以回帖 登录 | 立即注册

本版积分规则

小黑屋|手机版|Archiver|服务支持:DZ动力|huachaowang.com Inc. ( 蜀ICP备17032287号-1 )

GMT+8, 2025-12-16 19:39 , Processed in 0.087860 second(s), 21 queries .

Powered by Discuz! X3.4

© 2001-2013 Comsenz Inc.

快速回复 返回顶部 返回列表